Published June 28, 2021 | Version v1
Dataset Open

Dataset related to the publication "Optical realization of the pascal - Characterization of two gas modulated refractometers"

  • 1. Umeå University
  • 2. Umeå University, RISE Research Institutes of Sweden

Description

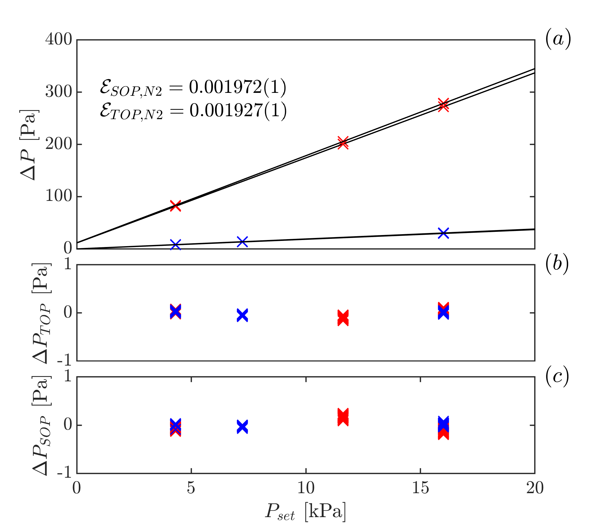
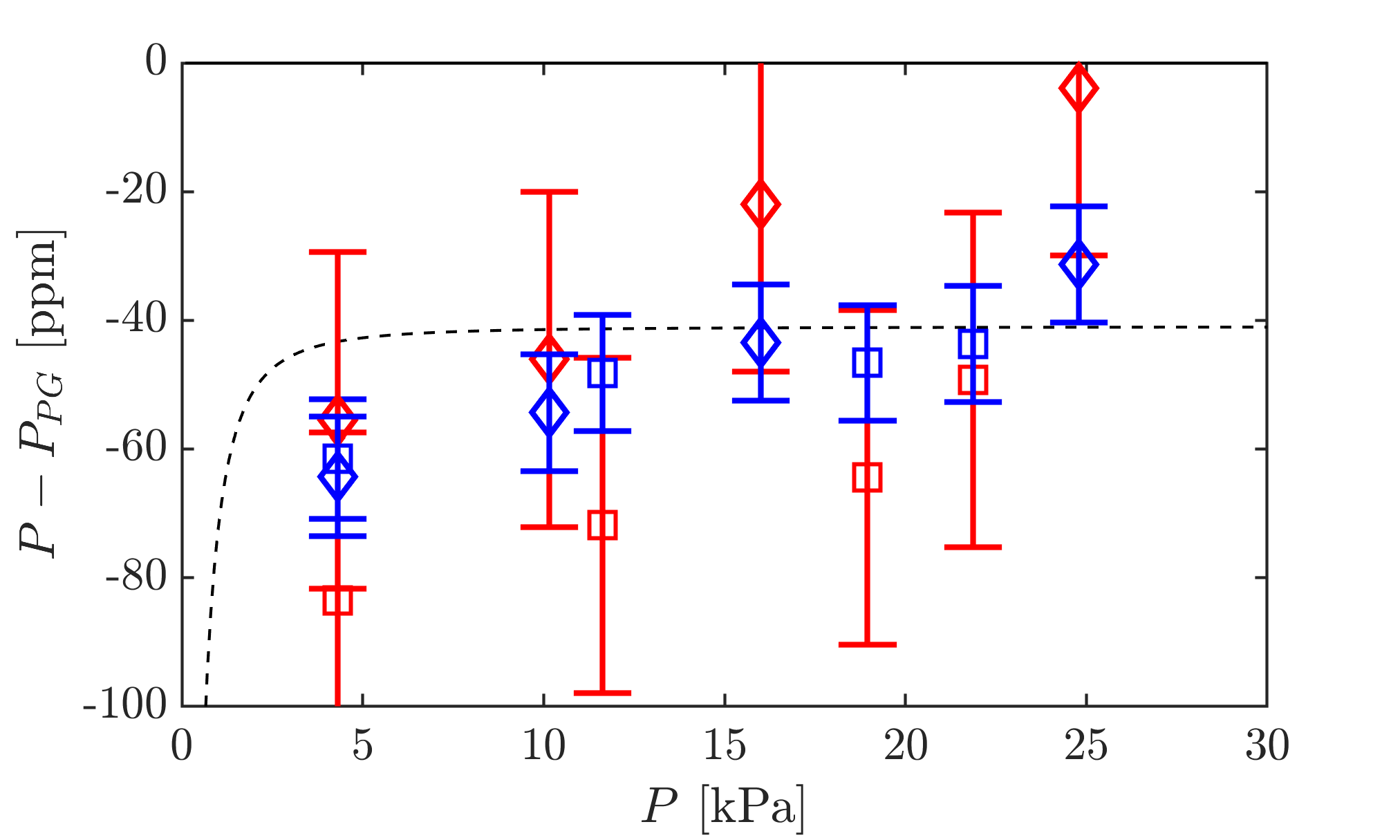
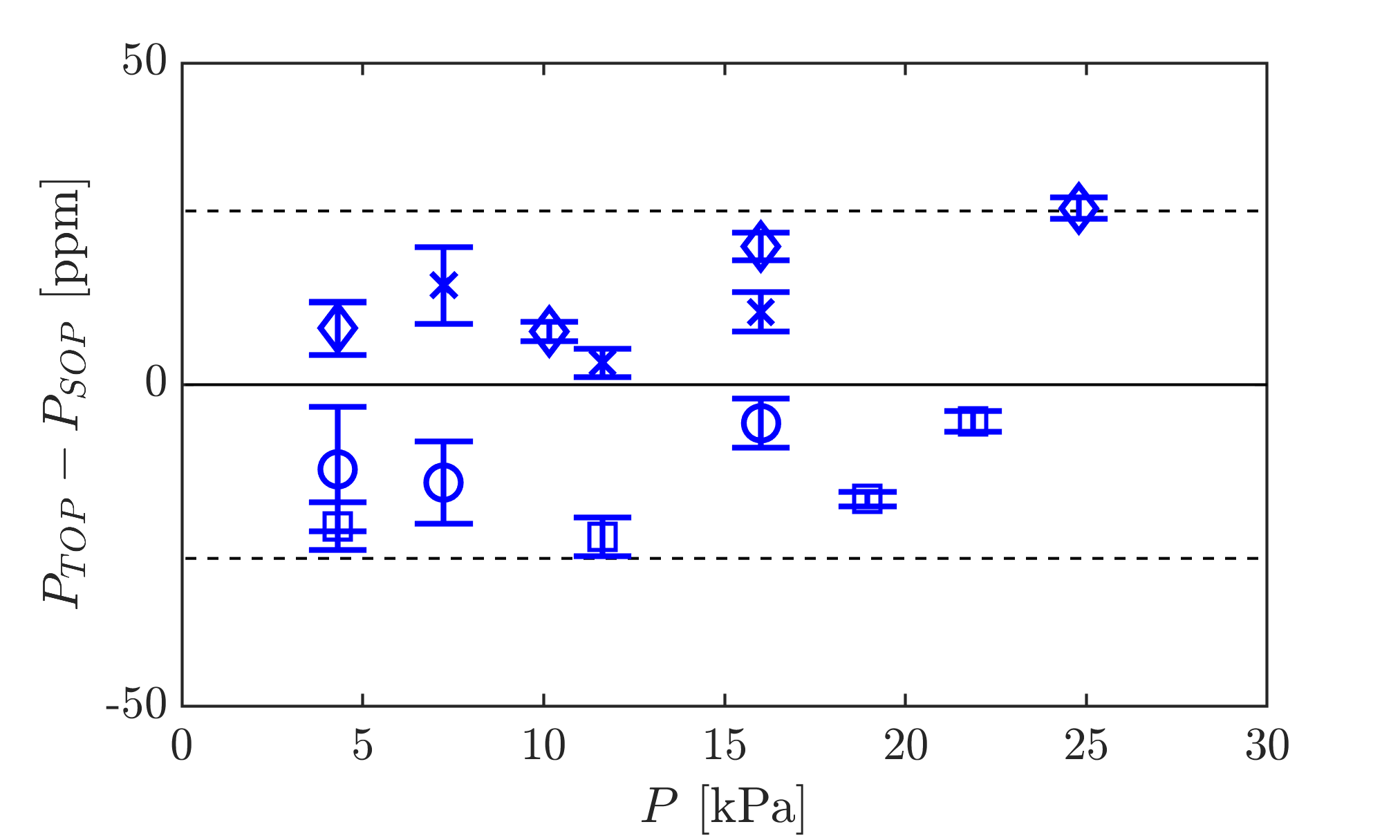
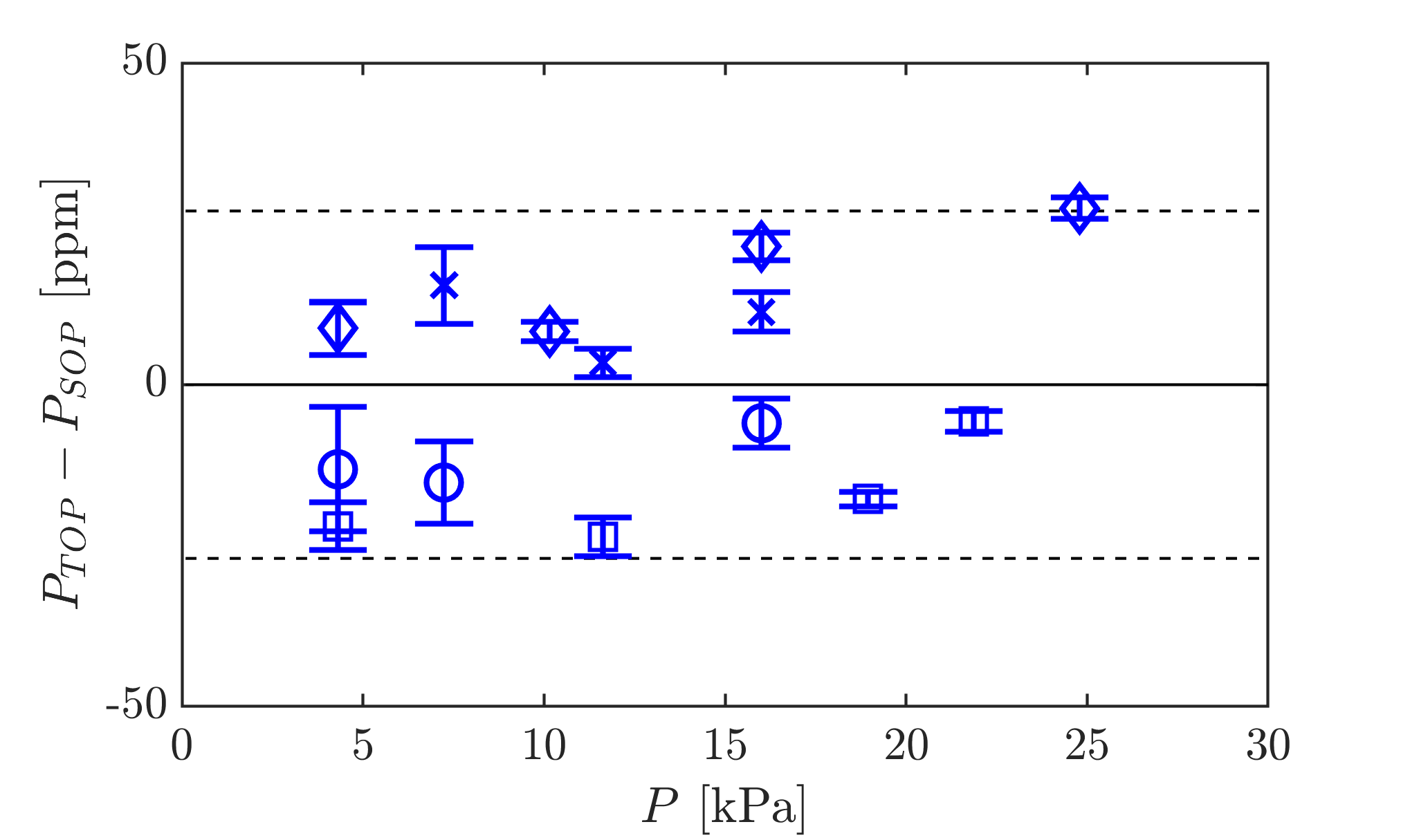
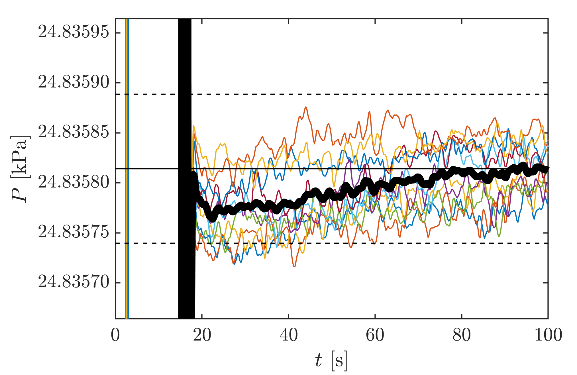
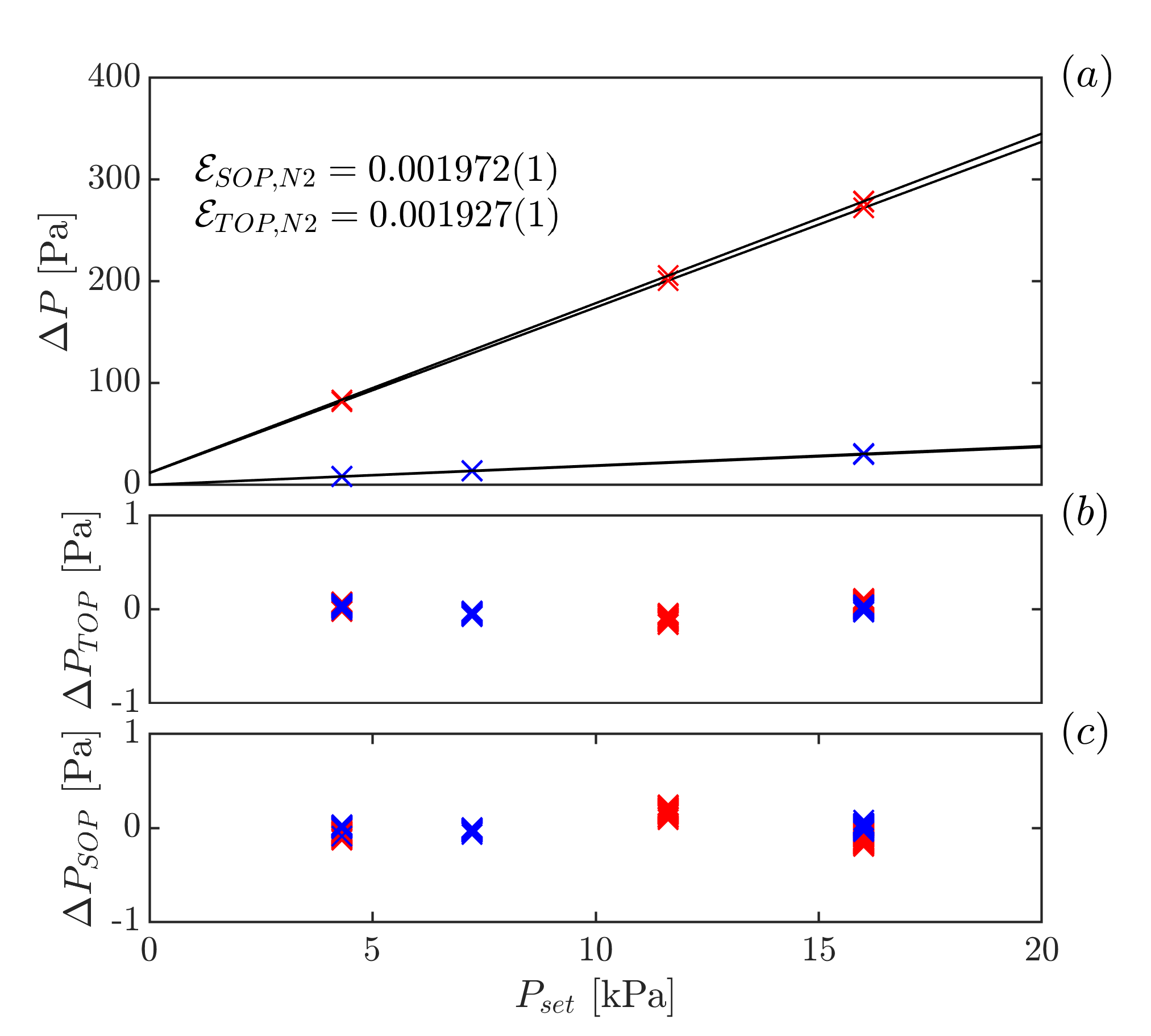
The data set consists of; The published paper, all figures that present measurement or simulation data in .png and .fig format and the underlying data plotted in the figures in text format.  The published plots were generated from the fig files. The text files were generated by reading the plotted data from the fig files. The files are named Fig_XX were XX corresponds to the figure number in the publication.  The format of the text file is as follows. Before every data set there is a header consisting of; The number of the subplot where the data is plotted (Plot: XX), the number of the data set in the sub plot (DataSet: XX), and the color of the line or marker in the plot (Color: XX). The description of what each color represents can be found in the publication.

Notes

Acknowledgments: This project (QuantumPascal, 18SIB04) has received funding from the EMPIR program co-financed by the Participating States and from the European Union's Horizon 2020 research and innovation program; Vetenskapsrådet (VR) (Nos. 621-2015-04374 and 621-2019-04159); the Umeå University Industrial doctoral school; the Vinnova Metrology Programme (Nos. 2017-05013, 2018-04570, and 2019-05029); and the Kempe Foundations (No. 1823.U12).

Files

Fig_2.png

Files (3.1 MB)

Name Size Download all
md5:4b0db57bdfb6f4f422b8c6ee54f32e4f
79.7 kB Download
md5:fd09d506c5817427d6e5dc1033daf8a2
122.0 kB Preview Download
md5:925f3f40ff5a91a391545fc5e022f4cc
27.1 kB Preview Download
md5:399fb4601b9efb2963c394bdca5b7e09
106.8 kB Download
md5:ed6766ee3ff206b9557b4ee286fc6d24
279.0 kB Preview Download
md5:ab2a63e55ea4494264105aff08cb9259
112.4 kB Preview Download
md5:e4d09cbf7f379ec3474273771647c4ac
105.0 kB Download
md5:049821804a3319aa8b617186ded85b0f
105.3 kB Preview Download
md5:cb3fbc8fced78e57171a507ba8a77a22
65.9 kB Preview Download
md5:80426c6c4bc06eca1e7cbf1f1222f05d
34.3 kB Download
md5:2e60c60d344eaf54e275d5c5a3a6e19c
54.0 kB Preview Download
md5:81eec81b6d2b802e62002e81ed712548
25.3 kB Preview Download
md5:08c220426075dd97a449a4ce41fee5c8
48.4 kB Download
md5:500283b8f60af31757273be51a937a17
60.7 kB Preview Download
md5:311bee0dc295ec1194d094ecc373e2fd
25.7 kB Preview Download
md5:64edaff76973fdb15a285a3bcf2a0b61
1.9 MB Preview Download

Additional details

Related works

Is documented by
Journal article: 10.1116/6.0001042 (DOI)