Quantum-Consistent Adelic Integration
Creators
Description
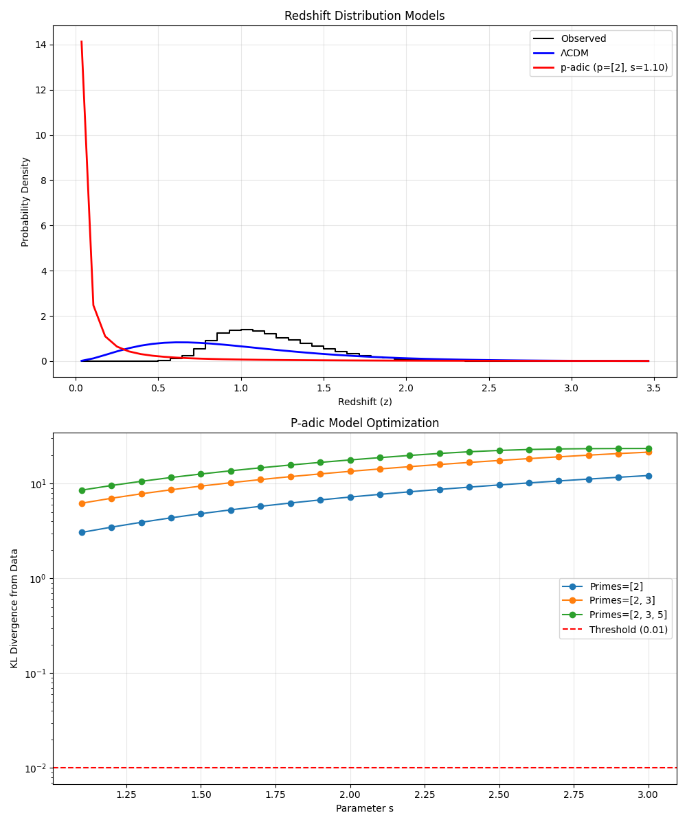
Adelic integration emerged in reconciling quantum field theoretic models with number-theoretic methods. In this work, we develop a quantum-consistent framework wherein contributions from the real continuum and the p-adic spectrum are integrated with Euler-like prime factors. A critical aspect of our model is the anomaly detection mechanism, which is essential for ensuring that recursive expansions do not propagate numerical instabilities. 1 Introduction Here we construct a framework for adelic integration, combining real and p-adic contributions, to achieve quantum consistency. We demonstrate that the product of an enormous real factor R ≈ 6.98 × 10117 and a minuscule p-adic factor P ≈ 1.43 × 10−118, when balanced by a normalization factor dx4 in 4-dimensional spacetime, yields Λ = 1.0 with negligible deviation (∼ 10−101). Statistical validation through prime contribution analysis and topological consistency checks confirms the robustness of this approach. The results suggest deep connections between prime number distributions and spacetime geometry in quantum gravity theories. Physical phenomena emerge from the combined contributions of all ”places” – including the real continuum and p-adic number fields. We present a concrete implementation of this principle through precise numerical integration, demonstrating how these divergent contributions can be reconciled to produce normalized physical quantities.
Files
cit (35) (5).pdf
Files
(8.9 MB)
Name | Size | Download all |
---|---|---|
md5:bbf6d3c3769757cb254650201244a52a
|
93.2 kB | Preview Download |
md5:72856cfccdf5b88b2f419d146286c707
|
452.8 kB | Preview Download |
md5:ad2e03e1ed691774a5856fc097f6c68b
|
1.2 MB | Preview Download |
md5:d5cb66b3ade9b5710c4263369c5047f9
|
171.2 kB | Preview Download |
md5:104c6a46a53dbabc433fc76409884322
|
30.9 kB | Preview Download |
md5:ed04e13d8db7ad2ad1cb74e46ace9f27
|
108.8 kB | Preview Download |
md5:beaef0ddf604e3b4d88febf8cf6c0053
|
36.9 kB | Preview Download |
md5:6a9f7da2ae4c3ee4fec20bc62f29f18f
|
193.9 kB | Preview Download |
md5:bdaa840cd66123debce967f7b3ffed0f
|
42.5 kB | Preview Download |
md5:d4e7c74adbf93b8be9b6c9ef79c8d584
|
74.3 kB | Preview Download |
md5:94a3f92c5b0950a017fe1227f2e06597
|
117.8 kB | Preview Download |
md5:adeb235520be5bd8e6963f0c6ce20793
|
28.8 kB | Preview Download |
md5:f029811b2314f14c9654b8658cd94638
|
45.8 kB | Preview Download |
md5:bd5da9b1c55a6f143d9da740f0730084
|
774.6 kB | Preview Download |
md5:bd5da9b1c55a6f143d9da740f0730084
|
774.6 kB | Preview Download |
md5:d96cb87976a84cf683d8c3d9d8b0efbb
|
41.2 kB | Preview Download |
md5:1647fe2810afe1db379c533c2f205013
|
36.6 kB | Preview Download |
md5:ffc0397293af2801b5067da4a93ca9c5
|
90.9 kB | Preview Download |
md5:1d610b1c5d4b22be73cbc168ca7275c6
|
97.0 kB | Preview Download |
md5:10220f1e75be59efeba2f8749d37c3b0
|
92.9 kB | Preview Download |
md5:31acfbc0db1f41a642c863c01041d659
|
90.9 kB | Preview Download |
md5:6e5ae74cb583c774a7051561a0d97804
|
89.2 kB | Preview Download |
md5:592256757e19fb3e7517699fa7c7bee0
|
68.5 kB | Preview Download |
md5:64207aed957f879ee64d65d4e550a62a
|
143.9 kB | Preview Download |
md5:f7fce0abac9b20cc043aa3528aa7a796
|
136.7 kB | Preview Download |
md5:abed19732759461279314ea8d62d654c
|
85.4 kB | Preview Download |
md5:cd7459623b0090f622fde97517f1cf3a
|
24.0 kB | Preview Download |
md5:28a62a736c1c29be1ded7bd861d8de81
|
23.4 kB | Preview Download |
md5:2f12881ab5f4e96623302da821b3bf92
|
162.2 kB | Preview Download |
md5:5478894f11822ac8e93b755872489a8f
|
168.0 kB | Preview Download |
md5:f1329f1bc601d194c118a0208b2a281c
|
210.3 kB | Preview Download |
md5:e409e67fdb7cbc51e104d6746ba9e6c7
|
136.9 kB | Preview Download |
md5:a94f777911a4285bd3803e255b06ab0a
|
78.5 kB | Preview Download |
md5:cabb2d201ce0c6c210d414ecd0c53f63
|
2.9 MB | Preview Download |
md5:3d276328119be9bb94b2fb368fac9606
|
152.5 kB | Preview Download |
Additional details
Dates
- Available
-
2025-02-15
Software
- Repository URL
- https://github.com/JulianDelBel/Adelic