Published November 16, 2023 | Version v1
Figure Open

FIGURE 2 in On the sand and among the crowds: a new species of Woodworthia gecko (Reptilia Diplodactylidae) from Auckland, Aotearoa/ New Zealand

  • 1. Bioresearches (Babbage Consultants Ltd.), Level 4, 68 Beach Road, Auckland 1010, New Zealand.
  • 2. School of Environmental and Animal Sciences, Te Pukenga - New Zealand Institute of Skills and Technology, Private Bag 92025, Auckland 1142, New Zealand.
  • 3. Independent herpetologist, Onehunga, Auckland.
  • 4. 151 Woodburn Drive, Takapu Valley, Wellington 5028.

Description

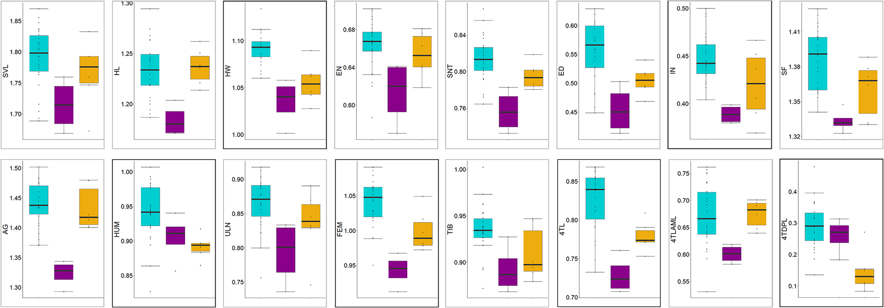
FIGURE 2. Tukey's boxplot comparisons of discrete mensural characters among Woodworthia maculata (light blue), Woodworthia "Mt Arthur" (purple), and Woodworthia korowai sp. nov. (yellow). Bold plot borders denote characters bearing statistically significant mean differences between W. korowai sp. nov. and W. maculata (the most closely related congener). Abbreviations are listed in the Materials and methods.

Notes

Published as part of Winkel, Dylan Van, Wells, Sarah J., Harker, Nicholas & Hitchmough, Rodney A., 2023, On the sand and among the crowds: a new species of Woodworthia gecko (Reptilia Diplodactylidae) from Auckland, Aotearoa/ New Zealand, pp. 263-294 in Zootaxa 5374 (2) on page 274, DOI: 10.11646/zootaxa.5374.2.7, http://zenodo.org/record/10147319

Files

figure.png

Files (620.2 kB)

Name Size Download all
md5:0bb67a565a95d1f9723b016b5933427a
620.2 kB Preview Download

Linked records

Additional details

Related works

Is part of
Journal article: 10.11646/zootaxa.5374.2.7 (DOI)
Journal article: urn:lsid:plazi.org:pub:FFCCD54DFFF9FFD7FFB3F5596A3FFFC3 (LSID)
Journal article: http://publication.plazi.org/id/FFCCD54DFFF9FFD7FFB3F5596A3FFFC3 (URL)
Journal article: https://zenodo.org/record/10147319 (URL)