Astrometry_Parallax
Authors/Creators
- 1. Isfahan University of Technology
Description
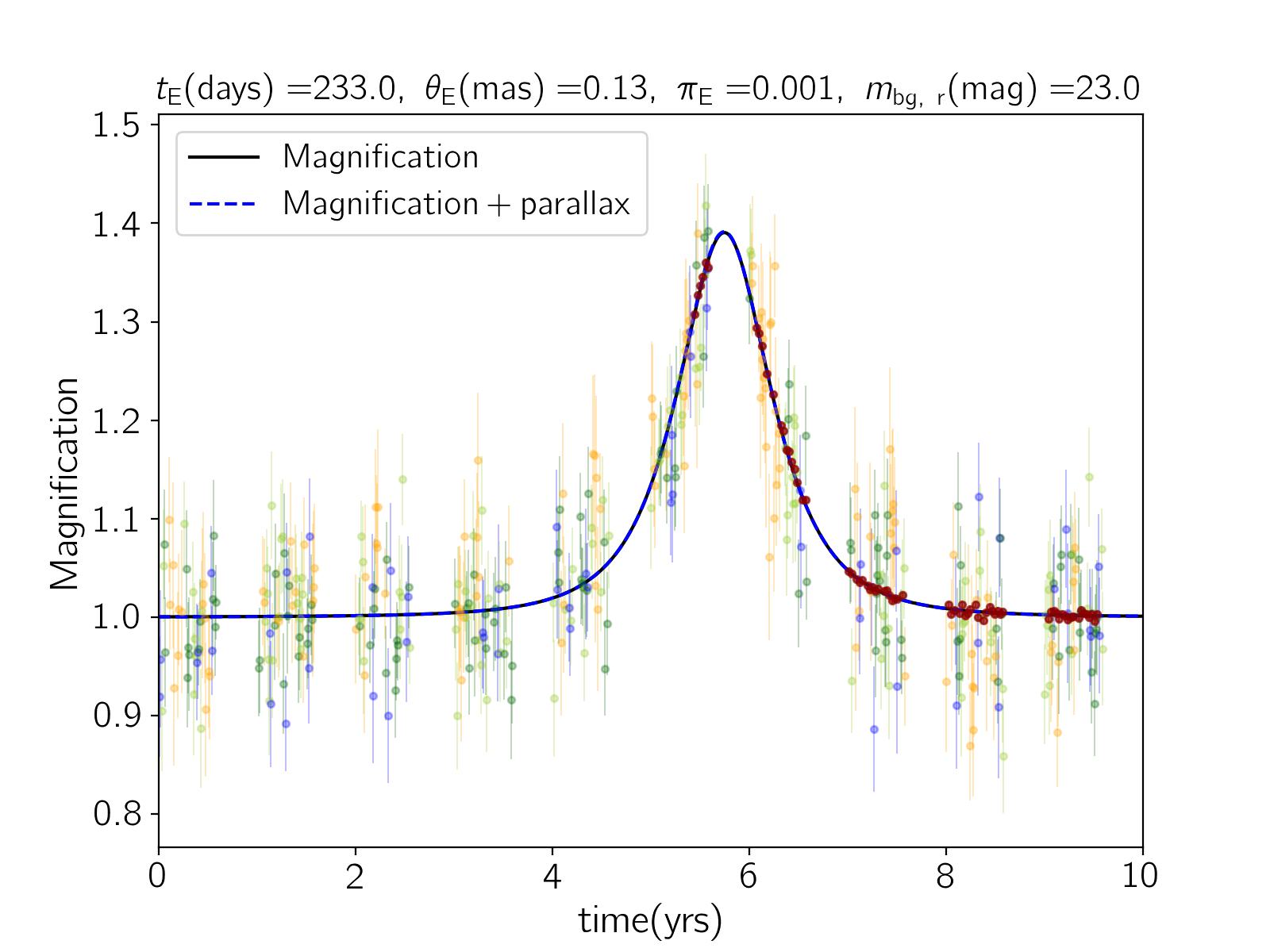
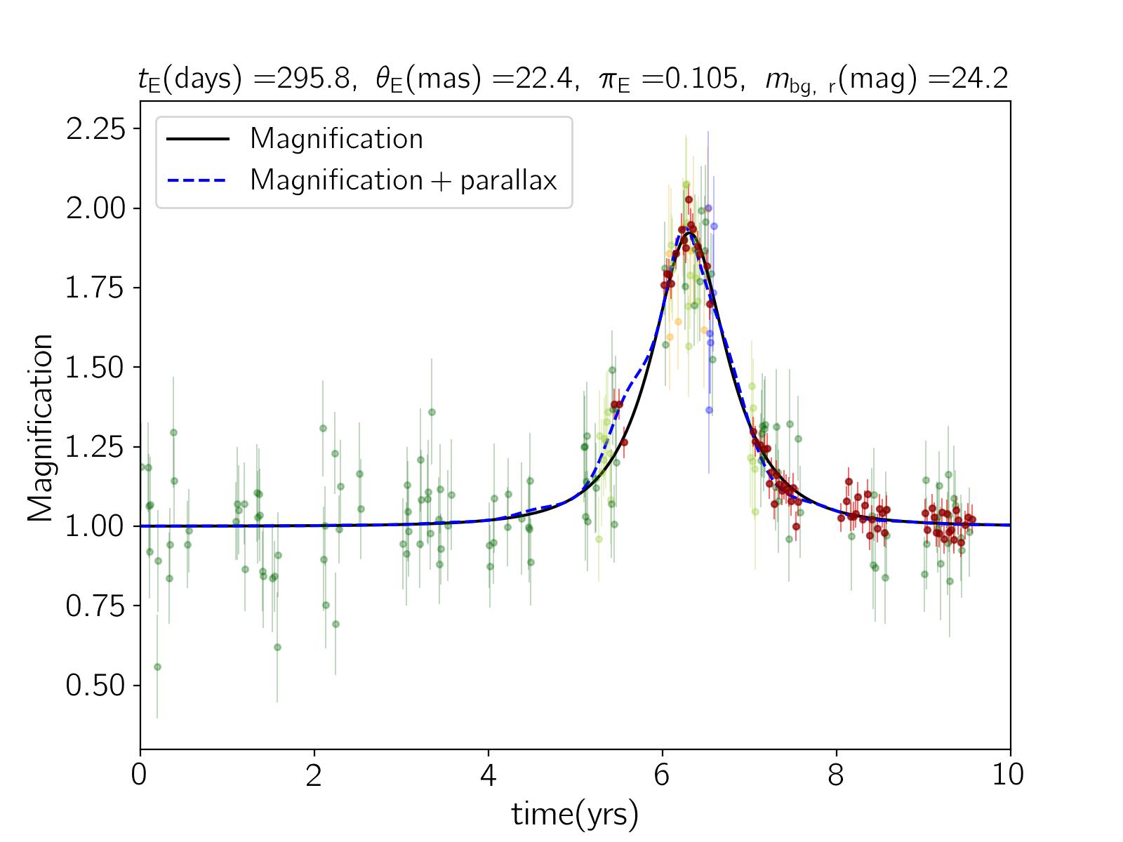
There are three *.cpp codes, which generate astrometric microlensing events by including the parallax effect on astrometric source trajectory and light curves. Two first codes simulate events toward the Galactic bulge and the last one simulates the events toward the LMC (Large Magellanic Cloud). In these codes synthetic data points based on realistic observing strategies by Roman, LSST, and ELT are generated.
These codes also calculate the astrometric and photometric Fisher matrices.
There are *.py codes, which analyze the outputs and calculate the Covariance matrices for each simulated event. Three light.py codes also plot light curves, and astrometric trajectories.
Some examples of simulated lightcurves and astrometric trajectroies are attached as well.
The main codes (*.cpp) read some files. If you want to run the codes on your own computer, please contact me for that files. My email address is: sedighe.sajadian@gmail.com
Files
dfC37.jpg
Files
(988.4 kB)
| Name | Size | Download all |
|---|---|---|
|
md5:bbdab066be39e44da3a3aaf44d6c3c07
|
24.8 kB | Download |
|
md5:315afdbf8c49d5ebc95b450214fdf2ba
|
25.5 kB | Download |
|
md5:ee00c3674877b15b764c275f115b73d6
|
25.4 kB | Download |
|
md5:cc854db2ccda2f5eb4c004aaceee50ee
|
66.6 kB | Download |
|
md5:4b75d32e7a67da161474e101eeb97d1b
|
69.4 kB | Download |
|
md5:246dc0eb9ea343509d8a248c1eeb4b94
|
70.7 kB | Download |
|
md5:94af89b0b5abfd5ccbb9858758e5be25
|
237.6 kB | Preview Download |
|
md5:e5a3bf18f80b67e47d71d1c033cc560c
|
175.3 kB | Preview Download |
|
md5:087ad7f7135def8c0138066e7bb2dbac
|
127.7 kB | Preview Download |
|
md5:6bc696e2f2058c6ccdedfee8a34d5a0c
|
140.2 kB | Preview Download |
|
md5:8fd796eb07718faf42317a15e86c942a
|
7.4 kB | Download |
|
md5:dadedc5da012ac696b994188b0fff0ea
|
7.3 kB | Download |
|
md5:2ba07679c38ca910b05d2f8ff5237faf
|
10.6 kB | Download |