Published February 3, 2023 | Version v1.0
Dataset Open

Doodleverse/Segmentation Zoo Res-UNet models for Aerial/NOAA ERI/2-class (water, nowater) segmentation of RGB 1024x768 high-res. images

  • 1. Marda Science LLC

Description

Doodleverse/Segmentation Zoo Res-UNet models for Aerial/NOAA ERI/2-class (water, nowater) segmentation of RGB 1024x768 high-res. images

Residual-UNet models are trained on 1,179 pairs of human-generated segmentation labels and images from Emergency Response Imagery (ERI) collected by US National Oceanic and Atmospheric Administration (NOAA) after Hurricane Barry, Delta, Dorian, Florence, Ida, Laura, Michael, Sally, Zeta, and Tropical Storm Gordon.

The dataset is available here**: https://doi.org/10.5281/zenodo.7268082

Models have been created using Segmentation Gym*:

Code - https://github.com/Doodleverse/segmentation_gym

Paper - https://doi.org/10.1029/2022EA002332


The model takes input images that are 512 x 512 x 3 pixels, and the output is 512 x 512 x 2, corresponding to 2 classes:

1. water 
2. other
 

Included here are 6 files with the same root name:

 '.json' config file: this is the file that was used by Segmentation Gym to create the weights file. It contains instructions for how to make the model and the data it used, as well as instructions for how to use the model for prediction.
'.h5' weights file: this is the file that was created by the Segmentation Gym function `train_model.py`. It contains the trained model's parameter weights. It can called by the Segmentation Gym function `seg_images_in_folder.py`.
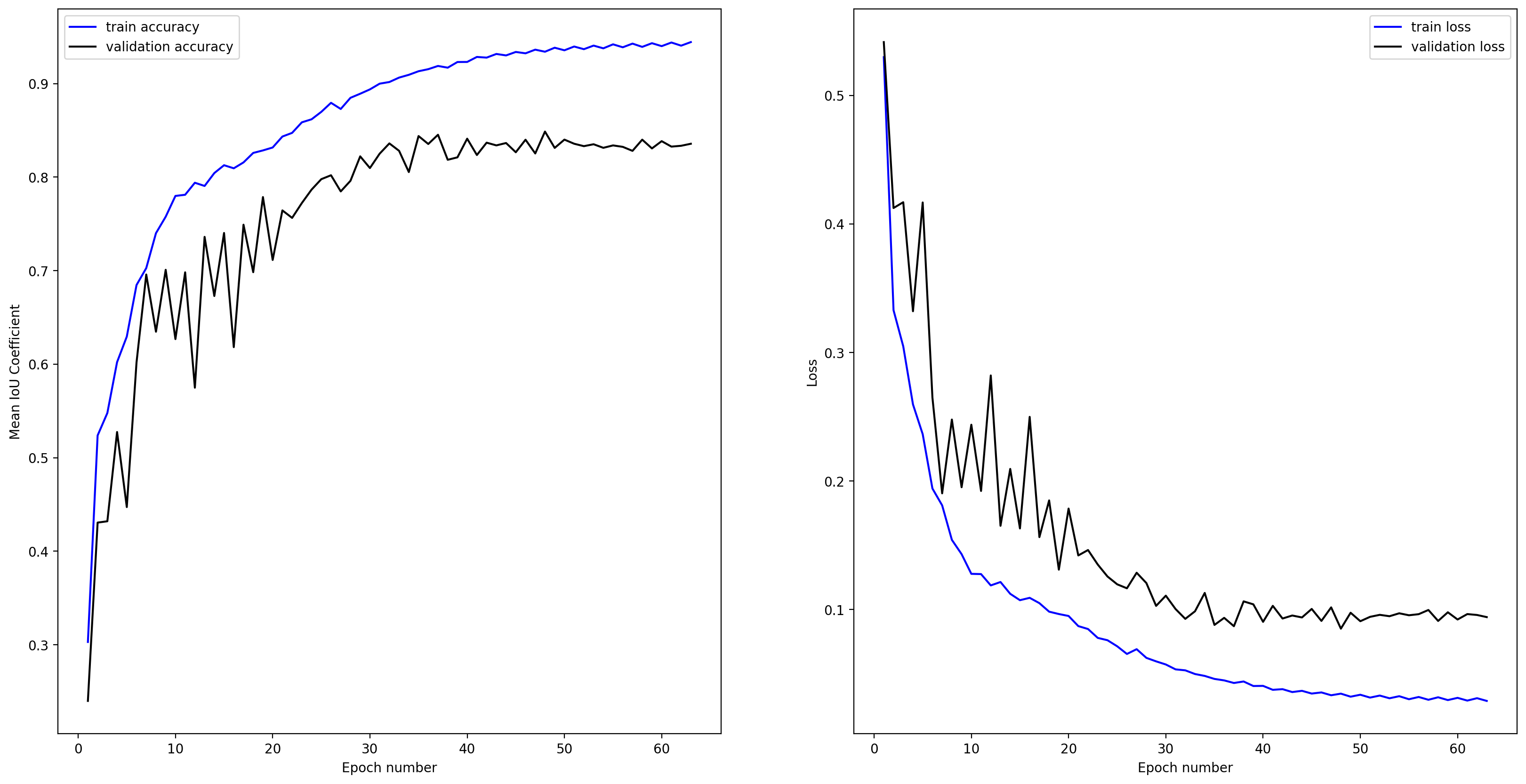
 '_model_history.npz' model training history file: this numpy archive file contains numpy arrays describing the training and validation losses and metrics. It is created by the Segmentation Gym function `train_model.py`
 '.png' model training loss and mean IoU plot: this png file contains plots of training and validation losses and mean IoU scores during model training. A subset of data inside the .npz file. It is created by the Segmentation Gym function `train_model.py`
'.zip' of the model in the Tensorflow ‘saved model’ format. It is created by the Segmentation Gym function `utils/gen_saved_model.py`
'_modelcard.json' model card file: this is a json file containing fields that collectively describe the model origins, training choices, and dataset that the model is based upon. There is some redundancy between this file and the `config` file (described above) that contains the instructions for the model training and implementation. The model card file is not used by the program but is important metadata so it is important to keep with the other files that collectively make the model and is such is considered part of the model

Additionally, BEST_MODEL.txt contains the name of the model with the best validation loss and mean IoU

References


*Segmentation Gym: Buscombe, D., & Goldstein, E. B. (2022). A reproducible and reusable pipeline for segmentation of geoscientific imagery. Earth and Space Science, 9, e2022EA002332. https://doi.org/10.1029/2022EA002332 See: https://github.com/Doodleverse/segmentation_gym


** Goldstein, Evan B., Buscombe, Daniel, Budavi, Priyanka, Favela, Jaycee, Fitzpatrick, Sharon, Gabbula, Sai Ram Ajay Krishna, Ku, Venus, Lazarus, Eli D., McCune, Ryan, Shah, Manish, Sigdel, Rajesh, & Tagner, Steven. (2022). Segmentation Labels for Emergency Response Imagery from Hurricane Barry, Delta, Dorian, Florence, Isaias, Laura, Michael, Sally, Zeta, and Tropical Storm Gordon (Version v1) [Data set]. Zenodo. https://doi.org/10.5281/zenodo.7268083

Files

BEST_MODEL.txt

Files (69.7 MB)

Name Size Download all
md5:5d107fddd1bf8779a83ddc38c356ad83
39 Bytes Preview Download
md5:3a20f9973b2f24c92069fbe6c6d38afa
11 Bytes Preview Download
md5:7c0451a445979bc17905fdb39c357718
3.3 kB Preview Download
md5:764cfab452aa4d0ed1c2fdf4e92e327d
1.0 kB Preview Download
md5:a8181698b0324ba6c12566141cc2a683
69.4 MB Download
md5:4c685ca80169b657634d41278183b311
3.4 kB Download
md5:70ca9db8d79e962b4013472f19ab40c3
2.3 kB Preview Download
md5:aec502581d53ffc8df5337e3b5eb943a
220.4 kB Preview Download