Published February 1, 2021 | Version v1
Dataset Open

Dataset related to the publication "Assessment of gas molar density by gas modulation refractometry: A review of its basic operating principles and extraordinary performance"

  • 1. Umeå University
  • 2. Umeå University, RISE Research Institutes of Sweden
  • 3. RISE Research Institutes of Sweden

Description

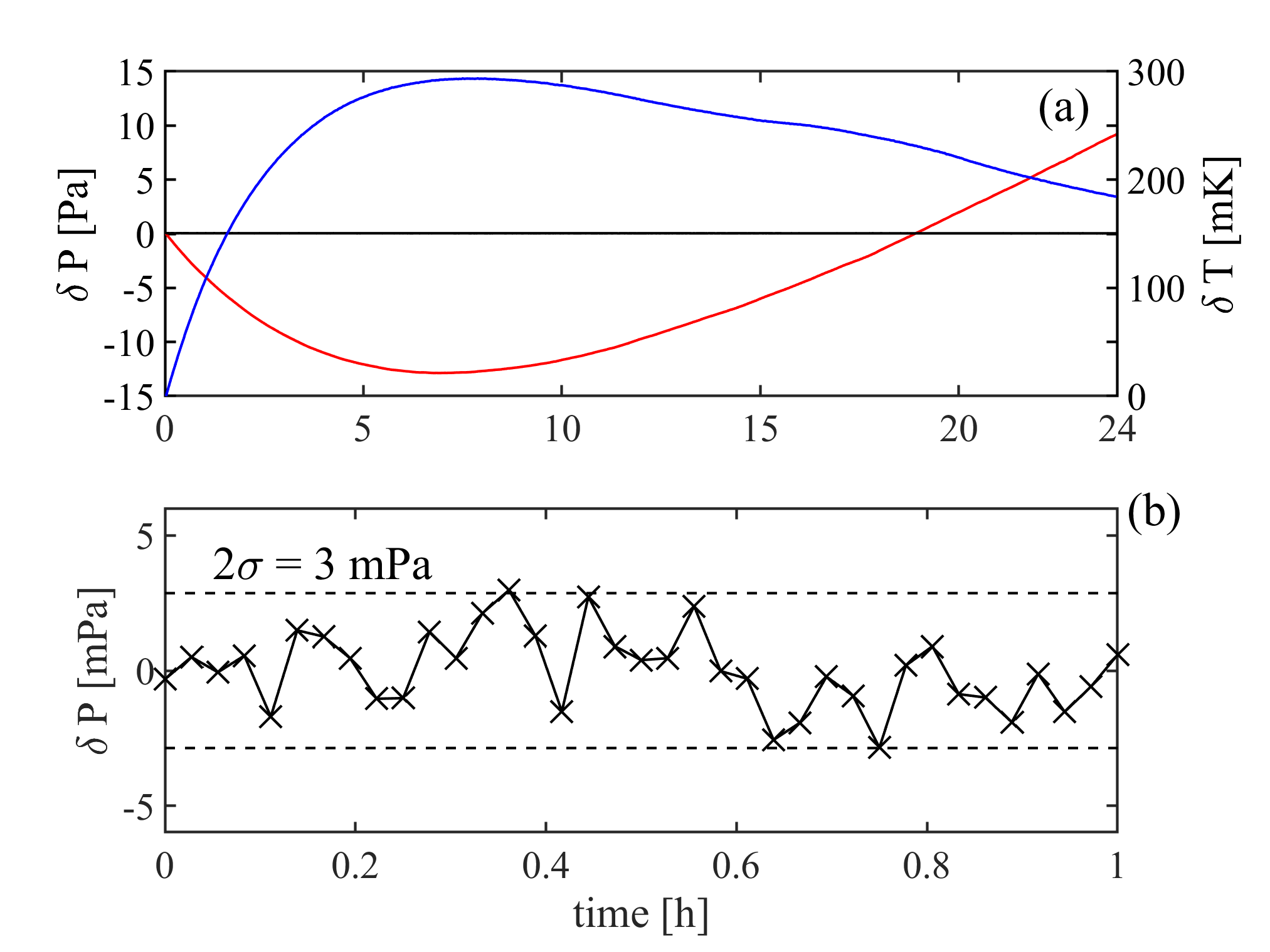
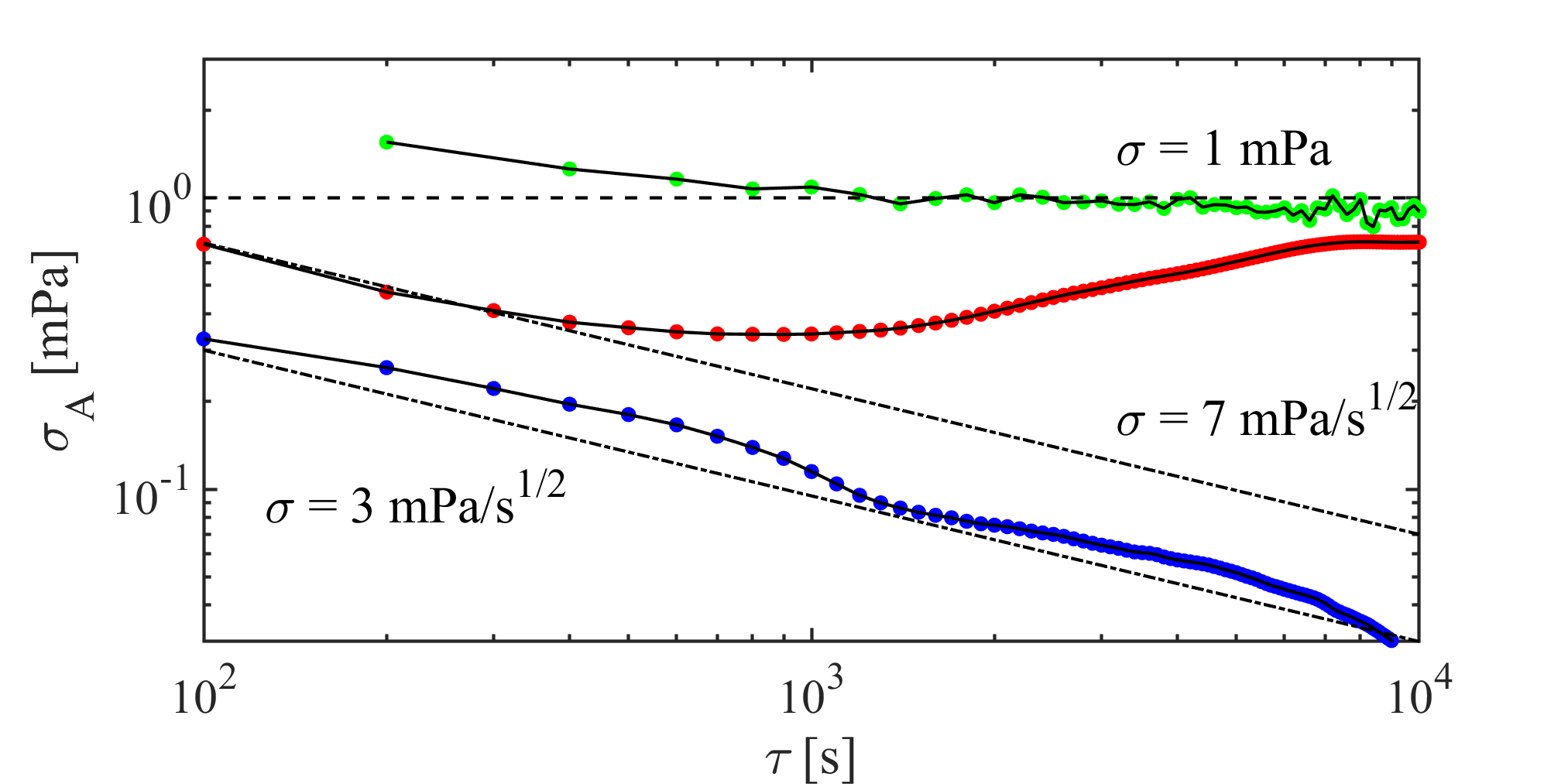
The data set consists of; The published paper, all figures that present measurement or simulation data in .png and .fig format and the underlying data plotted in the figures in text format.  The published plots were generated from the fig files. The text files were generated by reading the plotted data from the fig files. The files are named Fig_XX were XX corresponds to the figure number in the publication.  The format of the text file is as follows. Before every data set there is a header consisting of; The number of the subplot where the data is plotted (Plot: XX), the number of the data set in the sub plot (DataSet: XX), and the color of the line or marker in the plot (Color: XX). The description of what each color represents can be found in the publication.

Notes

Acknowledgements: This research was in part supported by the EMPIR initiative (No. 18SIB04), which is cofounded by the European Union's Horizon 2020 research and innovation program and the EMPIR Participating States; the Swedish Research Council (VR), Project No. 621-2015-04374; the Umeå University Industrial doctoral school (IDS); the Vinnova Metrology Programme, Project Nos. 2017-05013, 2018-04570 and 2019-05029; and the Kempe Foundations, Project No. 1823, U12.

Files

1-s2.0-S0584854721000689-main.pdf

Files (5.9 MB)

Name Size Download all
md5:3e7863b55d02c6aea6cad4f36977d99a
4.7 MB Preview Download
md5:1efa832f932b1517d058f2bfe8a6d02f
122.2 kB Download
md5:02c67a976e2eab6e9be9c4d4cd672451
123.3 kB Preview Download
md5:94e31c6115657285b4d5f8ef3c3e8575
102.2 kB Preview Download
md5:6a1f5d1d35c0c2ccc81003439527c75d
264.5 kB Download
md5:51f882b358c9ddde26614a4c9759e825
88.5 kB Preview Download
md5:7c34ac1130579e7e7e601ec318aa02ed
262.0 kB Preview Download
md5:4a24e6120a18f2cba4f0d60321a315d5
52.0 kB Download
md5:c76ca7ba83243887c2b9c762e37a649a
96.7 kB Preview Download
md5:da0d1b7c018c1233e1a7a6f53665619d
31.4 kB Preview Download

Additional details

Related works

Is documented by
Journal article: 10.1016/j.sab.2021.106121 (DOI)